The Science Behind the Sex Divide in Sports
A new review paper shows that the athletic performance gap between males and females is real, measurable, and matters at every age.
Reality’s Last Stand is a reader-supported publication. Please consider becoming a paying subscriber or making a one-time or recurring donation to show your support.
About the Author
Dr. Colin Wright is the CEO/Editor-in-Chief of Reality’s Last Stand, an evolutionary biology PhD, and Manhattan Institute Fellow. His writing has appeared in The Wall Street Journal, The Times, the New York Post, Newsweek, City Journal, Quillette, Queer Majority, and other major news outlets and peer-reviewed journals.
The debate over fairness in women’s sports has become a major cultural issue in recent years, as sports organizations and political leaders try to figure out how to handle the participation of transgender women—biological males—in female sports categories. Most Americans support keeping sports divided by sex, but political responses have been deeply split along party lines. President Donald Trump has made this a key issue, recently announcing an executive order called Keeping Men Out of Women’s Sports. The order aims to protect Title IX and ensure that only biological women can compete in female sports. A few weeks later, the Trump administration also cut off $175 million in federal funding to the University of Pennsylvania over how it handled the case of Lia Thomas, a male swimmer who competed on the women’s team after hormone treatment.
Polls consistently show that about 70–80 percent of Americans believe male athletes shouldn’t compete against females, but the Democratic Party has had difficulty separating itself from its more progressive wing on this issue. As a result, many voters—especially women and girls—feel frustrated, since their opportunities, safety, and fairness in competition are directly affected.
In an effort to move beyond politics and focus on facts, a new paper in the Journal of Applied Physiology titled “Evidence on sex differences in sports performance” offers a timely, in-depth look at the biological differences between male and female athletes. Written by experts in physiology and sports medicine, the review examines performance differences before and after puberty and provides a solid foundation for understanding what true fairness in sports means.
One of the paper’s main findings challenges a popular argument made by some inclusion advocates—that male athletes who block puberty before adolescence can compete fairly against females. In reality, the evidence shows that meaningful performance differences between boys and girls exist even before puberty begins. These differences, while smaller than those observed in adulthood, are nonetheless significant—and they demonstrate that blocking puberty does not eliminate the athletic advantage conferred by male biology. The takeaway is this: both men who went through male puberty and those who blocked it still have physical advantages that make competition unfair for females.
The review highlights seven major conclusions about the nature and persistence of sex-based differences in athletic performance. In the sections that follow, I’ll go through each one—explaining the evidence behind them and what they mean for policymakers, sports regulators, and the broader public conversation about fairness and inclusion in sports.
1. Males Consistently Outperform Females in Events Dependent on Strength, Speed, and Endurance
The data is clear: in almost every sport that depends on strength, speed, power, or endurance, male athletes outperform female athletes. In track and field, for example, thousands of males—many still in their teens—have beaten the female world records in running, jumping, and throwing events. The performance gap between top male and female athletes ranges from about 10 percent to over 40 percent, depending on the sport. These differences are not random or anecdotal; they are consistent and grounded in biology.
2. The Male-Female Performance Gap Appears Before Puberty
The authors of the new review show that performance differences between the sexes are evident even before puberty. Among elite prepubescent athletes in the United States, boys outperform girls by 3–10 percent in running and jumping events, and by up to 5 percent in swimming. While some of these differences may be influenced by behavioral factors—such as greater participation by boys in vigorous physical activity—clear biological disparities are already present. Early hormonal influences, differences in muscle development, and patterns of physical activity all contribute to a measurable male advantage prior to adolescence.
This conclusion is supported by the work of Dr. Greg Brown, a professor of exercise science at the University of Nebraska at Kearney, whose detailed analysis was recently published here on Reality’s Last Stand. Brown reviewed data from school-based fitness tests, national youth track meets, swimming records, and a five-year dataset of top U.S. track and field performances among children under age 11. He found that boys consistently ran faster, jumped farther, and threw significantly farther than girls of the same age—often by margins of 5–40 percent depending on the event. Brown also emphasized that even when puberty blockers are used to suppress male development, existing research shows that sex-based differences in height and lean body mass persist—traits that directly affect athletic performance.
Together, the review paper and Brown’s findings clearly demonstrate that the male athletic advantage does not begin at puberty; it begins well before. This challenges the increasingly common claim that fairness is preserved so long as puberty is medically suppressed. The evidence shows that even before puberty, males have real performance advantages over females—advantages that can make a difference in competitive sports where tiny margins decide who wins.
3. Puberty Dramatically Increases the Performance Gap
The divergence in athletic performance between males and females becomes most pronounced during and after puberty. At this point, testosterone levels in males rise quickly, causing a series of physical changes—more muscle, bigger lungs and hearts, longer bones, and more red blood cells. These changes boost speed, strength, and endurance. By late adolescence, the performance gap reaches adult levels, firmly establishing the large male advantage.
From the paper: “Sex differences in elite freestyle swimming performance across the lifespan. Blue scatter and line plots display the increase in sex differences of the top 10 US freestyle swimming performances averaged across all contested event distances in long course meters, including 50, 100, 200, 400, 800, and 1,500 m events. This figure was generated using previously published data (7, 9, 12).”
4. Testosterone Is the Main Driver of Male Athletic Advantage
The paper emphasizes that the surge in endogenous testosterone during male puberty is the main driver of the performance gap. Testosterone promotes the growth of skeletal muscle, enhances oxygen delivery through increased hemoglobin, strengthens bones, and improves recovery. Even small differences in testosterone levels can have large effects on athletic performance, which is why sports organizations strictly regulate doping.
5. Female Physiology Constrains Athletic Performance
While male athletes benefit from a host of performance-enhancing adaptations during puberty, female athletes face different physiological constraints. These include higher body fat percentages, a shorter average adult height, and changes in joint structure that increase injury risk. The menstrual cycle can also affect comfort, fatigue, and temperature regulation, and many women must take time off for pregnancy and recovery. These factors further compound the male-female performance gap.
6. Testosterone Suppression Reduces but Does Not Eliminate Male Advantage
One of the most relevant findings for policy debates is that testosterone suppression in “transgender women” (i.e., males who identify as women) modestly reduces physical performance but does not erase the male advantage. A well-documented case study of a transgender swimmer (Lia Thomas) who competed in both male and female NCAA categories showed only a 5 percent drop in performance following hormone therapy—significantly less than the typical 10 percent gap between elite male and female swimmers. Similar results have been found in studies of athletes and military personnel: transgender women often still perform better than biological females, even after years of testosterone suppression.
The explanation is due to what scientists call “legacy effects.” While hormone therapy reduces circulating testosterone, it does not reverse traits like height, limb length, lung capacity, or overall body structure. Muscle mass and strength do go down somewhat, but typically not to female levels. Some scientists also suggest that muscles developed under high testosterone might keep a kind of “memory,” helping them stay stronger or grow faster even after hormone levels drop.
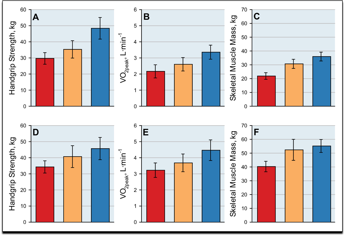
From the paper: “Physiological adaptations associated with testosterone suppression. Bar charts display lower handgrip strength (A and D), maximal aerobic capacity (B and E), and skeletal muscle mass (C and F) among XY transgender women (orange bars) compared with XY males not undergoing hormone therapy (blue bars). Comparator groups of XX females (red bars) had the lowest values for these physiological measurements. A–C were generated using previously published data (44) representing 15 XY nonathletes after about 14 yr of hormone therapy (including estrogen therapy and testosterone suppression) compared with 13 XY males and 14 XX females. D–F were generated using previously published data (38) representing 23 XY transgender women athletes who were overweight or obese (on average) after an average of four years of hormone therapy (testosterone suppression with or without estrogen therapy), 37 XY male athletes, and 21 XX female athletes.”
7. Female Doping with Testosterone Improves Performance, but Falls Short of Male Levels
Finally, the paper examines whether exogenous testosterone can close the performance gap from the other direction—by enhancing female performance. Evidence from past state-run doping programs and recent controlled studies shows that women respond strongly to testosterone. They build muscle, lose fat, and improve endurance. However, even with these improvements, female athletes still don’t perform at the same level as male athletes, past or present. This supports the idea that the male advantage in sports can’t be fully recreated or erased just by changing hormone levels.
The paper concludes with a clear but important message: differences between males and females in athletic performance are large, measurable, and mostly permanent after puberty. These differences are much bigger than the small advantages (often less than 1 percent) that sports organizations try to remove through equipment rules or anti-doping efforts. In sports where winners are decided by fractions of a second or a few millimeters, a lasting 10–40 percent performance gap can’t be ignored.
This body of evidence provides a clear guide for sports policymakers. Inclusion cannot come at the cost of fairness. Letting males compete in women’s events—no matter their “gender identity”—undermines the level playing field that female athletes have worked hard to protect. It’s not just hormone levels that matter, but all the physical advantages that come from male development.
In the end, protecting women’s sports means acknowledging that sex-based performance differences are real, significant, and long-lasting. Insisting on fairness in competition is not bigoted or transphobic—it is foundational to the integrity of sport.
Reality’s Last Stand is a reader-supported publication. If you enjoyed this article and know someone else you think would enjoy it, please consider gifting a paid subscription or making a recurring or one-time donation below. Your support is greatly appreciated.















Excellent summary as usual, but the framing of the issue is still a massive problem.
The issue is not whether some men, any men, could ever compete fairly with women.
The issue is whether women can associate with each other freely in sports without male presence, any male presence.
The “fairness” question is a red herring.
The purpose of demands for male inclusion is not to compete with women, it is quite different, incidental almost.
The purpose is to 1) avoid competition with men; 2) have access to, touch, see, and engage with women’s bodies without permission for sexual gratification and to 3) affirm to themselves and others their mimicry of females is not false; 4) lastly, mimic victory in a sport.
Discussing this from the perspective of the man mimicking women (trans), is to fail to start from the perspective of who women wish to participate with in sports.
You cannot allow some men, and not others to participate, in interests of fairness. You cannot say “this man is so weak”, that he has failed sports qualifications so thoroughly that he can compete, since any man can fail any qualification effortlessly. It excludes no men.
Sports is about being the best among peers, finding superiority in physical being, striving to achieve.
It is antithetical to sports to strive to be the worst to be included by failure.
The conversation has to orient to women’s needs, perspectives; to women’s autonomy in association.
If women’s sports is not about women; then what is it about, exactly?
On men evading men:
https://open.substack.com/pub/sufeitzy/p/mimesexuality-3-scutum-mimesis?r=o79yv&utm_medium=ios
On men demanding free access to women:
https://open.substack.com/pub/sufeitzy/p/mimesexuality-5-accessus-liber?utm_campaign=post&utm_medium=web
Great post. This is one of those cases where the evidence piles as high as Mt. Everest but quasi-religious ideology blinds people to obvious facts.